并联电容补偿因容量组合灵活,安装维护简便,投资少等原因而广泛应用于电力系统。作为无功电力的主要电源,对于电力系统调相调压、稳定运行、改善电能质量和降损节能具有重要作用。随着电力事业的迅速发展,电容装置安装投运容量亦迅速增长。
随着电力电子技术的广泛应用,带整流器的设备如变频调速装置、UPS电源装置,以及软起动器、新型节能电光源等产生高次谐波电流的电气设备应用越来越多,给电网带来了严重的谐波污染,导致一系列的设备问题。如电动机振动、发热,变压器产生附加损耗,使容性回路过电流,干扰通讯,电子设备误触发等等。因此,对谐波的污染须予以重视。抑制谐波的措施很多,常见技术措施如改变变压器的接线方式;加装滤波装置;加装静态(动态)无功补偿装置;在电容回路加装串联电抗器等等。
目前,国内很多用电单位使用传统的单纯电容器进行无功补偿.其补偿装置的运行受到严重威胁,电力电容器的故障率越来越高。本文主要探讨给电容器加装串联电抗器以达到抑制谐波的对策,避免电容器与电网产生串联或并联谐振,从而改善系统的功率因数和保证补偿电容器的稳定运行。
谐波对补偿系统的影响
在无功补偿系统中,电网以感抗为主,电容器回路以容抗为主。在工频条件下,并联电容器的容抗比系统的感抗大很多,补偿电容器对电网发出无功功率,对电网进行无功补偿,提高了系统的功率因数。在有背景谐波的系统中。非线性负荷会产生大量的谐波电流注入电网,引起电压及电流波形畸变。影响电力电容器的正常运行。
造成电容器过电流谐波分流原理图如图1所示:

图1 谐波分流示意图
n次谐波下变压器阻抗:XS(n)=2πf(n)L(1)n次谐波下电容器阻抗:XC(n)=1/2πf(n)L(2)
存在高次谐波时,由于f(n)的增大,从而导致XS(n)增大及XC(n)减少,从而导致谐波电流大量涌入电容器。假设电容器工作运行在满载电流,若加上谐波电流后.电容器运行电流大于1.3倍的额定电流,电容器将出现故障。
与系统产生并联谐振当大量的非线性负荷挂网运行时,将在电网产生严重的电压畸变和电流畸变。此时的谐波源相当于一个很大的电流源,其产生的谐波电流加在系统感抗和电容器的容抗之间,形成并联回路如图2所示。

图2并联谐振原理图
从图中可以看出谐波电流一部分流经XS(n),一部分流经XC(n),回路阻抗为:
当n为某次谐波时,电网感抗等于电容器容抗XC(n)时,形成并联谐振,此时并联回路总阻抗等于无穷大。谐波电流流经阻抗无限大的回路时。将产生无限大的谐波电压,无限大的谐波电压将在电网和电容器间产生大电流,造成电容器故障。
串联电抗器对谐波的抑制
电气设计中多采用在无功补偿电容器回路串联电抗器来抑制谐波。谐波源从电力系统中吸收的畸变电流可分解为基波分量和谐波分量,其谐波分量与基波分量和供电网的阻抗无关,所以可以将谐波看作恒流源。电力系统的简化电路和谐波等效电路如图3、4所示:

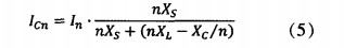
图中In为谐波用电设备,XS为系统基波阻抗,XL为串联电抗器基波阻抗,XC为电容器基波阻抗,在n次谐波条件下谐波阻抗分别为:XS(n)=nXs;XL(n)=nXL;XC(n)=XC/n。
从等效电路阻抗图4可得,流入供电系统的谐波电流I为:
流入并补装置的谐波电流ICn为:
nXS为系统谐波阻抗与系统大、小运行方式的短路容量有关。根据式(4)、(5)可以看出关键在于XL与XC的取值,现就典型情况讨论如下(见表1)。
由表1可知。无功补偿回路串联电抗器要实现对谐波电流的抑制,须使回路电抗对谐波源产生的低次谐波电呈电感性,即满足:
n为主要谐波的低次数,从上述讨论可知,对同一系统,由于K值不同,其运行状况截然不同,因此正确选择电抗器电抗率K值是十分重要的。

电抗率的选择
在《并联电容器装置设计规范》GB50227-2017中指出了串联电抗器电抗率的配置标准:“用于抑制谐波时,电抗率应根据并联电容器装置接入电网处的背景谐波含量的测量值选择。当谐波为5次及以上时,电抗率宜取5.0%;当谐波为3次及以上时,电抗率宜取12.0%,亦可采用5.0%与12.0%两种电抗率混装方式。”
因此在选择并补装置串联电抗器电抗值参数时,一定首先研究一下,供电系统中具有什么样的主要谐波次数范围,然后确定其电抗值的百分比,要避开可能出现的谐波放大区域。
由式(6)可得:式中ω为基波角速度,ω=2πf=100π
此时。实际调谐频率为:
由式(7)可知,如系统背景谐波以5次谐波为主,应串5%或6%电抗器,谐振点为224Hz或204Hz(可避免产生大于5次谐波250Hz的谐振);如背景谐波以4次谐波为主,应串7%或8%的电抗器.谐振点为189Hz或177Hz(可避免产生大于4次谐波200Hz的谐振);如系统背景谐波以3次谐波为主,应串12%或13%电抗器。谐振点为144Hz或139Hz(可避免产生大于3次谐波150Hz的谐振)。串联电抗器后会带来些新的问题,如果不注意,同样会对电容器的使用造成危害。
电容器额定电压选择
在选择电容器额定电压时要考虑电容器组投入运行后的预期母线运行电压。为了使电容器的额定电压选择合理,达到经济和安全运行的目的,在分析电容器预期的运行电压时,应考虑下面几种情况: (1)并联电容器装置接入电网后引起的电网电压升高; (2)谐波引起的电网电压升高; (3)装设电抗器引起的电容器端子电压升高; (4)相间和串联段间存在的容差,将形成电压分配不均,使部分电容器承受的电压升高; (5) 轻负荷引起的电网电压升高。
故综合考虑后电容器额定电压的选取按下式确定: 
其中,UCN为单台电容器额定电压,USN为接入点系统电压,S为电容器组每相的串联段数,K为电抗率。以低压400V系统,串联6%电抗率的电抗器为例,计算电容器额定电压Uc=446.8V,即电容器的额定电压应考虑按450V以上才是可靠的。
5.2电容器补偿容量选择
串联相应电抗器以及确定补偿电容器额定电压后,安装容量与实际输出容量是不同的,两者关系可按下式计算:
式中Q1为电容器输出容量,Q2为电容器安装容量,U2为电容器运行电压,U1为电容器额定电压,K为电抗率。可见,若单纯提高电容器额定电压。实际运行时,低于额定电压,会出现无功容量亏损,造成无功补偿的不足。所以在选择补偿电容容量时,应考虑串联电抗器造成的电容器输出容量的变化.并应留有部分裕量。
5.3谐波放大现象
由式(6)可得,如串联电抗器电抗率为6%,则并补回路的抑制谐波的低次数为:
即6%串联电抗器抑制5次及以上次数的谐波。而对3次及以上次数的谐波电流的放大程度非常严重,从而导致电容器组损坏。因此经过大量运行及经验数据,国家规定。需抑制5次及以上次数的谐波,同时避免对3次以上谐波的放大,电抗率可选为4.5%。另外,为了解决3次谐波放大问题,有的变电站的电容器组并非每组都串联6%电抗器,而是有几组串6%电抗器,另外几组串12%或13%电抗器。针对某种背景谐波,选择串联电抗率时,首先要研究一下,供电系统中具有什么样的主要谐波次数范围,然后确定其电抗值的百分比,避免发生并联、串联谐振,以及谐波放大现象。
电容无功补偿是提高系统功率因数、降低电网无功损耗的重要手段,由于电网都存在不同程度的谐波,因此无论何时进行无功补偿,均不能抛开谐波问题,否则不仅危及电容器的使用安全,更危及电网系统的使用安全。串联电抗器是无功补偿电容器组的重要组成部分。电抗率的选择对并联电容器的运行及对系统谐波的抑制有很大的影响同。因此在串联电抗器时,须对系统谐波进行测试.选择正确的电抗率,同时电容器的额定电压和安装容量要作相应的提高。
本文为原创文章,作者:Dldui-author,如若转载,请通知我们,也请注明出处:https://dldui.com/ele-technology/capacitor-reactors-in-series-suppress-harmonics.html

微信扫一扫
支付宝扫一扫


